Indice dei contenuti
Le Origini della Misurazione dell’Inquinamento Luminoso
L’osservazione del cielo notturno, attività fondamentale dell’astronomia, è oggi seriamente minacciata dalla crescente illuminazione artificiale. Questo fenomeno, noto come inquinamento luminoso, rappresenta una sfida globale per gli astronomi. Misurare accuratamente la luminosità del cielo notturno è essenziale per quantificare l’inquinamento, comprenderne l’impatto e selezionare siti idonei per futuri osservatori. In tale contesto, lo sviluppo di strumenti dedicati è cruciale. Questo articolo descrive uno dei primi strumenti portatili specificamente progettato, costruito e testato dall’Osservatorio Vaticano e utilizzato nelle campagne di misurazione del 1971, il cui lavoro fu pubblicato nel 1973, e il cui rapporto è disponibile tramite il NASA Astrophysics Data System (ADS).
Nel corso dei decenni, la comunità scientifica ha costantemente avanzato metodologie e strumentazione per la quantificazione precisa della luminosità del cielo notturno. Dai primi tentativi basati su stime visive, laboriose e soggette a errori, si è passati a strumenti sempre più sofisticati. L’introduzione di fotomoltiplicatori e sensori CCD ha rappresentato avanzamenti fondamentali, consentendo una quantificazione della luce del cielo con un livello di dettaglio senza precedenti.
La storia dell’Osservatorio Vaticano, o Specola Vaticana, testimonia una lunga e ininterrotta tradizione di ricerca astronomica. Le sue origini risalgono alla fine del XVI secolo con la Torre Gregoriana in Vaticano. L’interesse della Chiesa per l’astronomia crebbe, portando alla fondazione ufficiale dell’Osservatorio nel 1774 presso il Collegio Romano. A seguito della presa di Porta Pia nel 1870, l’osservatorio fu trasferito all’interno delle Mura Leonine. Successivamente, a causa del crescente inquinamento luminoso che rendeva le osservazioni a Roma sempre più difficili, a partire dagli anni ’30 l’osservatorio fu spostato nella sua attuale sede di Castel Gandolfo. Questo trasferimento evidenzia la dedizione della Specola alla ricerca di alta qualità e la sua precoce consapevolezza dell’impatto negativo dell’illuminazione artificiale.
In questo contesto di crescente consapevolezza dell’importanza dei cieli bui, l’Osservatorio Vaticano ha dato un contributo significativo con lo sviluppo di un fotometro portatile, specificamente progettato per misurare la luminosità del cielo notturno in Italia. Il rapporto sulle misurazioni effettuate e lo strumento stesso, rappresentano un esempio pionieristico di equipaggiamento portatile.
La Legge di Propagazione
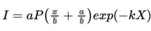
La ricerca del 1971 mirava a sviluppare una “legge di propagazione” della luce artificiale nel cielo notturno per mappare l’inquinamento luminoso su vaste regioni. Gli autori, Treanor e Bertiau, hanno studiato un modello che descrive come la luce di una città si diffonde nell’atmosfera, basandosi sulla seguente equazione:

Immagina di guardare il faro di un’automobile di notte. La luce che vedi è composta da due parti:
- La luce diretta: il fascio luminoso che arriva dritto ai tuoi occhi.
- La luce diffusa: il bagliore, o alone, che vedi intorno al faro, causato dalla luce che rimbalza sulle particelle di polvere o umidità nell’aria.
L’equazione di Treanor e Bertiau funziona in modo simile: il primo termine descrive il bagliore diffuso, e il secondo descrive il fascio di luce diretta che arriva dalla città.
In questa formula, I è la luminosità che rileva il fotometro nel cielo notturno (illuminazione zenitale), P è la popolazione della città e X è la distanza tra te e la città.
Il funzionamento dell’equazione è determinato da tre costanti principali: A, B e k. Ecco cosa rappresentano:
- Componente di Diffusione (A): rappresenta l’intensità del bagliore diffuso, come l’alone di luce che una città proietta nel cielo notturno. Un valore di A più alto indica un alone di luce più grande, a parità di altre condizioni.
- Componente Diretta (B): rappresenta l’intensità della luce che viaggia direttamente verso l’osservatore. Descrive il contributo principale della luce che non viene dispersa.
- Attenuazione (k): un parametro che descrive quanto rapidamente la luce, sia diretta che diffusa, viene indebolita mentre attraversa l’atmosfera. Un valore di k elevato indica che la luce svanisce più velocemente con la distanza.

Le osservazioni utilizzate per calibrare questa legge furono condotte nell’estate del 1971, con oltre 5000 misurazioni effettuate in diverse località italiane. Tre città furono selezionate per lo studio: Roma (2.600.000 abitanti), L’Aquila (61.000 abitanti) e Teramo (48.000 abitanti), per testare il modello su scale urbane molto diverse. Le notti di osservazione furono scelte per la loro eccellente trasparenza e l’assenza di nuvole, garantendo la massima qualità dei dati.
I risultati di queste misurazioni sono visualizzati nella figura 2. Il grafico illustra chiaramente come l’inquinamento luminoso diminuisca all’aumentare della distanza dal centro abitato. L’asse orizzontale indica la distanza, mentre l’asse verticale rappresenta la magnitudine, che quantifica la perdita di visibilità stellare. Questi dati confermarono l’efficacia del modello di Treanor, dimostrando che l’inquinamento luminoso può essere misurato e analizzato in relazione alla distanza da una sorgente luminosa.
Ulteriori osservazioni sono state condotte a Castel Gandolfo, a Toppo di Castelgrande (sito di test per i gruppi di prospezione del Grande Telescopio Britannico e Italiano), sull’Isola di Ponza e nella campagna a sud di Lecce.
Le osservazioni condotte nelle vicinanze di Roma, L’Aquila e Teramo hanno confermato che la legge empirica si adatta efficacemente ai dati. L’intensità della luce artificiale nel cielo, misurata rispetto al cielo naturale, è stata tracciata in funzione della distanza in chilometri. Si è notato che, oltre una certa distanza, l’intensità artificiale non cambiava più, permettendo di stabilire un punto zero locale per i contributi di inquinamento luminoso.

Per confrontare questi risultati con la legge empirica, è stato necessario considerare la popolazione delle città e le differenze nel loro sviluppo economico. Un fattore di scala basato sulla sola popolazione ha permesso di allineare i dati di Roma e L’Aquila su una curva comune. I valori per Teramo sono risultati inferiori a questa curva di circa il 23%, una differenza che riflette il suo minore sviluppo, un aspetto confermato da dati statistici. I risultati combinati, normalizzati per 100.000 abitanti, hanno mostrato un’ottima corrispondenza con la legge empirica di riferimento, grazie a un’adeguata calibrazione delle costanti.
Ulteriori analisi e l’applicazione di formule successive hanno permesso di chiarire alcuni aspetti fondamentali:
- Il modello mostra che a grandi distanze, la diffusione della luce nell’atmosfera è il meccanismo principale di propagazione.
- Il modello non è preciso a distanze molto ravvicinate dalle città, dove l’approssimazione non è pienamente valida. Questo difetto è stato corretto assegnando una distanza minima di 5 km ai siti di osservazione che si trovano più vicini.
- È emerso che il fattore di sviluppo economico è un parametro importante. Per l’Italia, si è trovata una correlazione con il numero di telefoni per abitante, che ha permesso di stimare questo fattore per le varie città, offrendo un metodo oggettivo per tenere conto delle differenze di sviluppo.
Questi risultati hanno dimostrato che è possibile modellare e prevedere l’inquinamento luminoso anche su larga scala, sebbene con alcune limitazioni dovute a fattori locali come l’altitudine dell’osservatorio, le irregolarità topografiche e la presenza di neve, che influenzano l’albedo superficiale.
Il Primo Fotometro
l’ARTICOLO COMPLETO è riservato agli abbonati alla versione digitale. Per sottoscrivere l’abbonamento Clicca qui. Se sei già abbonato accedi al tuo account dall’Area Riservata
L’articolo è pubblicato in COELUM 276 VERSIONE CARTACEA














