L’astrosismologia studia le pulsazioni delle stelle ZZ Ceti, nane bianche pulsanti, per svelare la loro struttura interna, i meccanismi di pulsazione e l’evoluzione.
L’astrosismologia studia la struttura delle stelle pulsanti attraverso l’analisi delle onde sismiche che si propagano dal nucleo alla superficie, risultando dunque visibili nella fotosfera sotto forma di variazioni periodiche di luminosità. Essendo la frequenza e l’ampiezza di tali oscillazioni direttamente collegate alle caratteristiche del mezzo di diffusione, l’astrosismologia fornisce importanti informazioni sulle proprietà fisiche dei vari strati dell’interno stellare. Tra i numerosi fenomeni ondulatori osservati, i cosiddetti “breathing pulses” (BPs; letteralmente, “impulsi respiratori”) rappresentano la manifestazione di episodi di mescolamento degli elementi presenti nelle stelle di massa piccola o intermedia. Si tratta di pulsazioni che hanno luogo al confine tra la zona convettiva centrale, responsabile del mescolamento, e quella non convettiva ad essa circostante durante la fase di bruciamento nucleare dell’elio (i.e., core helium burning, CHeB). In particolare, si ritiene che i BPs possano alterare l’assetto chimico del nucleo al punto da influenzare lo stadio evolutivo stellare finale di nana bianca, poiché capaci di spostare il confine tra le due zone: in questo modo, parte dell’elio accumulato nella zona non convettiva rientra in quella convettiva e viene utilizzato come nuovo combustibile per prolungare la fase di CHeB. Ciò comporta l’aumento non solo della massa della zona convettiva, ma anche dell’abbondanza centrale di ossigeno, l’elemento derivante dalla sintesi dell’elio. Il cambiamento di dimensione e composizione chimica del nucleo si ripercuote allora inevitabilmente sul restante percorso evolutivo della stella.
Una recente indagine astrosismologica sulle stelle nane bianche con progenitori di 1M⊙e 2.5M⊙ha rivelato che la loro struttura interna dipende dal verificarsi o meno dei BPs attraverso un confronto tra i periodi di oscillazione osservati e quelli ricavati da opportuni modelli teorici. Più specificamente, l’attenzione è stata concentrata sulle nane bianche pulsanti con atmosfere ricche di idrogeno, chiamate stelle ZZ Ceti. Due quindi i modelli realizzati per ciascun valore di massa iniziale di una stella nana bianca appartenente alla categoria ZZ Ceti: uno con e uno senza BPs (caso BP e caso non-BP, rispettivamente).

CHeB per il modello con progenitore di 1 M⊙. Nel caso BP (linea blu)
la durata della fase di CHeB è maggiore rispetto al caso non-BP
(linea rossa). Crediti: arXiv.
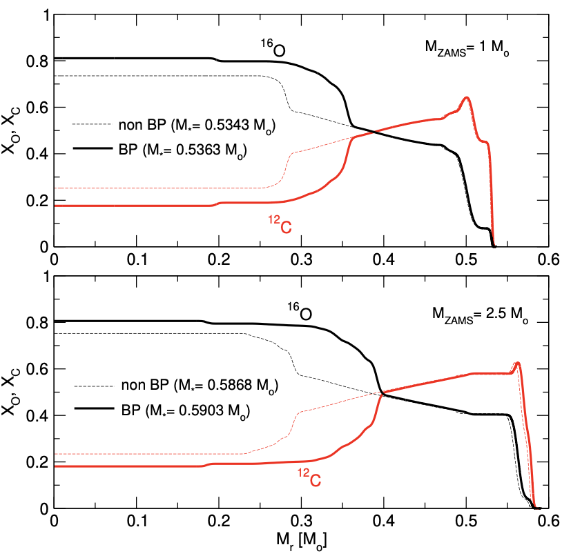
La ricerca ha in primis confermato che la presenza dei BPs ha il netto effetto di allungare la fase di CHeB a discapito della successiva fase di ramo asintotico delle giganti (i.e., asymptotic giant branch, AGB) a causa del minor quantitativo di elio rimasto per alimentarla. Tuttavia, la diversa durata della fase di AGB sembra non avere un impatto considerevole sulla nana bianca da essa emergente. Inoltre, il calcolo dei profili chimici dell’ossigeno 16O evidenzia l’esistenza di un nucleo con estensione e concentrazione centrale di 16O maggiori nel caso BP anziché nel caso non-BP. Tale differenza si traduce, in termini astrosismologici, in uno sfasamento di circa 30 secondi del periodo di pulsazione relativo al caso BP in confronto al canonico caso non-BP, a dimostrazione di come lo spettro di oscillazione e la composizione chimica del nucleo siano legati in modo diretto.

maggiore nel caso BP (linea nera solida) rispetto al caso non-BP
(linea nera tratteggiata) per il modello di 1 M⊙ (pannello
superiore) e per il modello di 2.5 M⊙ (pannello inferiore). Crediti:
arXiv.
Segnatamente, i risultati finora esposti valgono per entrambi i valori di massa iniziale presi in esame. Nondimeno, sembra vi sia una lieve discrepanza tra questi e le predizioni di altri modelli, che prevedono una maggiore incidenza dei BPs sull’abbondanza di ossigeno e la grandezza del nucleo delle nane bianche ZZ Ceti. Servirà pertanto ulteriore lavoro per affinare le tecniche simulative astrosismologiche così da ottenere una migliore compatibilità fra gli innumerevoli modelli proposti.
Fonte:arXiv.














