Indice dei contenuti
ABSTRACT
Il testo di Zaninotti Ranieri esplora i sogni tecnologici della fantascienza, affrontandoli con un approccio critico. Il teletrasporto, un concetto popolare, viene suddiviso in due tipi: il trasporto reale di materia e il trasferimento di informazioni per la ricostruzione dell’oggetto. Entrambi presentano enormi sfide tecniche, come l’energia richiesta e la precisione nella ricostruzione. Il metodo che prevede la disintegrazione e ricostruzione dell’originale viene criticato come un semplice duplicatore, sollevando anche questioni etiche.
L’idea di velocità superiori a quella della luce è altrettanto problematica. La fisica relativistica mostra che raggiungere o superare la velocità della luce richiederebbe energia infinita, rendendo questa possibilità irrealizzabile. I tachioni, particelle ipotetiche che superano la velocità della luce, sono teoricamente possibili ma praticamente inutilizzabili e non provate.
La teoria della curvatura dello spazio di Miguel Alcubierre, che prevede la manipolazione dello spazio-tempo per viaggiare velocemente, è affascinante ma attualmente impraticabile a causa delle immense masse richieste e dell’ipotetica necessità di materia con massa negativa.
Infine, il testo critica la possibilità di distruggere pianeti con un raggio come quello della Morte Nera di Star Wars, calcolando l’energia necessaria come immensamente superiore a quella emessa dal Sole in 150 anni.
Il documento conclude che la fantascienza, sebbene affascinante, dovrebbe essere apprezzata per il suo valore immaginativo piuttosto che per le sue previsioni tecniche sul futuro.
Introduzione
Quanti sono i sogni tecnologici che un affamato di fantascienza, anela di vedere un giorno realizzati?
A seguire ne affronteremo alcuni (del resto siamo in Astrodivagazioni niente di serio) ma non sarà per spezzare una lancia a loro favore, no, bensì sarà per affondarli criticamente e meticolosamente.
Se sei quindi un sognatore che spera di vedere il bel giorno in cui tutto questo sarà realizzato, chiudi pure il testo che stai leggendo e vai a prendere un bel fumetto di Flash Gordon; se invece vorrai ancora tuffarti nelle amare acque della scienza, allora armati di una poltrona, di un buon calice di Rum adeguatamente invecchiato (ma quello buono, non quelle schifezze dolciastre di moda al giorno d’oggi), e continua pure a leggere, io cercherò di essere il tuo Virgilio in questo viaggio nelle tristi bolge della cruda realtà.
Teletrasporto
L’ARTICOLO COMPLETO è riservato agli abbonati alla versione digitale. Per sottoscrivere l’abbonamento Clicca qui. Se sei già abbonato accedi al tuo account dall’Area Riservata
[swpm_protected for=”3″]
Che dire, uno dei più gettonati sogni fantascientifici, sogno che periodicamente riaffiora dalle patinate pagine dei vari tabloid di divulgazione più o meno scientifiche, su cui continuano a scrivere diversi mattacchioni che vogliono fare presa sul pubblico omettendo o semplicemente trascurando qualche ‘dettaglio’ fondamentale.
Teletrasporto.
Bene.
Il desiderio di trasferirsi da qui a lì senza sforzo.
I vari teletrasporti che si vedono nelle numerose saghe di fantascienza si possono suddividere in due tipi:
- I teletrasporti in cui avviene un vero e proprio “trasporto” di materia, che spostano materialmente il soggetto
- I teletrasporti che invece analizzano l’oggetto e ne trasferiscono l’informazione al ricevitore, che lo ricostruisce perfettamente
Sorvolando su tutte le decine di obiezioni che si potrebbero avanzare ad esempio sulla quantità di energia necessaria per trasferire un oggetto pesante come un corpo umano, oppure sull’effettiva conoscenza così dettagliata della composizione appunto di una persona, dalle sue membra fino al suo spirito, tale da poterla ricostruire tale e quale, vi invito a riflettere su un aspetto a cui forse nessuno di voi, nonostante la nuova serie di Star Trek di questi anni, ha mai pensato.
Il trasmettitore di tipo due (ti disintegro, ti analizzo, trasmetto i dati e ti ricostruisco) non è un trasmettitore di materia, bensì un duplicatore.
Abbiamo distrutto l’originale analizzandolo, ed ora, con le informazioni ricevute, ne potremmo rifare uno, nessuno e centomila (cit.), perché è questo che succederà: l’originale muore ma noi ne faremo un clone.
Sì, proprio cloni, e, se si trattasse di un essere umano, questi cloni sarebbero veramente convinti di essere l’originale (ne abbiamo fatta una copia perfetta, ricordate?), ma ovviamente non possono esserlo, in quanto, fatto uno, potremmo farne tranquillamente altre dozzine (oppure nessuno!) seguendo semplicemente le istruzioni, mentre l’originale è morto sacrificandosi per l’analisi.
Ma anche se (SE) riuscissimo ad analizzare un Mario Rossi perfettamente senza torcergli un capello, allora verrà comunque creato un clone a destinazione, e a questo punto ci troveremmo due Mario Rossi contemporaneamente.
Ancora, tutto questo senza contare che il ricevitore dovrà attingere da qualche parte le risorse per creare l’oggetto: saranno enormi serbatoi di elementi da assemblare atomo per atomo con infinita meticolosità? O sarà semplice energia che verrà convertita in qualche maniera in materia?
In quest’ultimo caso, sappiate che l’energia necessaria sarà appena appena esagerata: per fare un chilogrammo di materia, servirebbero circa 25.000 GWh, ovvero quanta energia elettrica consuma in un mese l’Italia intera.
Ma allora di cosa ci parlano le cronache più o meno quotidiane che ci bombardano con i successi nel campo del teletrasporto?
Semplicemente omettono di dire che sono riusciti a “teletrasportare” l’informazione a livello quantistico di una singola particella o giù di lì, ma nulla di fisico, solo l’informazione.
Di una particella, beninteso (elettrone, protone o che dir si voglia), non di una banana o di un batterio.
Siccome una cellula umana pesa circa un nanogrammo (10-12 gr), e considerato che in un grammo di qualsiasi sostanza ci sono circa 6 x 1023 nucleoni (è la costante di Avogadro), questo significa che (elettroni esclusi) in una cellula ci sono circa 6 x 1011 nucleoni, più circa la metà di elettroni, quindi un totale approssimativo di 1.000.000.000.000 (mille miliardi!) di particelle.
E una persona che pesa 70 Kg, ha 70.000.000.000.000 (settantamila miliardi) volte tale peso!
Lascio a voi il calcolo di quante particelle in totale dovrebbe minuziosamente assemblare un tale miracoloso marchingegno; senza sbagliare ovviamente, altrimenti rischiereste di dover usare un gomito per annusare una margherita!
Un paragrafo a parte meriterebbe il discorso etico, qui volutamente non affrontato, anche se potrebbe però essere benissimo lo spunto per un prossimo approfondimento sull’argomento, stay tuned!
Arrivati a questo punto, io direi che il Titanic del teletrasporto è bell’e che affondato.
una nebulosa planetaria all’interno di Messier 15, denominata Pease 1 (in onore di Francis Gladheim Pease, il suo scopritore).
Velocità Superluminali
E qui ci giochiamo l’asso.
Velocità superluminali (via! Più veloci della luce! – cit.), altro bell’argomento da appassionati di Star Trek assieme al teletrasporto che miseramente è destinato a naufragare.
Le distanze interstellari sono così immense che il solo pensare di percorrerle a velocità tradizionali è fuori discussione: chi accetterebbe di pagare il biglietto per Alpha Centauri, sapendo che dovrebbe attendere decine di migliaia di anni per arrivarci?
Ecco allora che la fantascienza ci ha proposto diverse soluzioni per poter arrivare in tempo al nostro appuntamento:
Accelerare fino a superare la velocità della luce
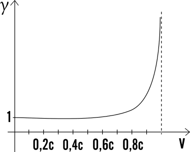
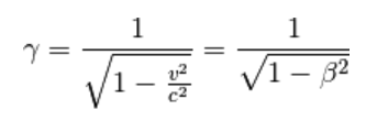
Semplicemente non si può, e il motivo sta nel fattore di Lorentz:
Dove ‘v’ è la velocità dell’oggetto in questione, e ‘c’ è la velocità della luce.
Come si può vedere dalla formula (e dal grafico qui sotto che la rappresenta visivamente), all’aumentare di ‘v’, approssimandosi a ‘c’ (quindi quando la velocità si avvicina a quella della luce), ‘γ’ (il Fattore di Lorentz) tende ad infinito.
Ora, ‘γ’ è il valore che:
- Moltiplichiamo per la massa di un oggetto per ottenere quella che chiamiamo ‘massa relativistica’; questo incremento di massa è l’energia che dobbiamo fornire all’oggetto per raggiungere la velocità desiderata, e che tende ad infinito avvicinandosi sempre più a ‘c’. Questo comporta che serve un’energia infinita per arrivare a ‘c’, e quindi non è possibile.
- Quando ci avviciniamo alla velocità della luce, il tempo inoltre rallenta sempre di più, fino a fermarsi (per i fotoni, che viaggiano a ‘c’, ad esempio, il tempo non scorre), e, ovviamente, senza lo scorrere del tempo non possiamo fare nulla, neppure cercare di incrementare la velocità.
- La lunghezza dell’oggetto, lungo la direzione di marcia, si divide per detto fattore con il risultato che si contrae sempre più, fino ad azzerarsi quando si arriva a ‘c’.
Ovviamente questo per un osservatore esterno, mentre per il soggetto tutto appare normale.
Non solo, ma anche arrivare ad una frazione apprezzabile di ‘c’ sarebbe veramente arduo, viste le energie in gioco.
Per i motivi sopra esposti, non è possibile, per un oggetto materiale, arrivare o superare la velocità della luce.
Più che affondato, mai partito.
Tachioni
Il tachione (dal greco ταχύςtachýs, “veloce”) è un’ipotetica particella avente velocità superiore a quella della luce.
Queste ‘bestiacce’ hanno caratteristiche molto peculiari:
- Nascono già con una velocità maggiore di quella della luce nel vuoto
- Sono più veloci della luce, ma non possono mai rallentare al di sotto di essa
- Più sono veloci e meno energia hanno
- Non le potremmo mai vedere arrivare, ma dopo averle incontrate, ne vedremmo due copie allontanarsi in direzioni diametralmente opposte, con redshift diversi (verso il rosso quella in direzione del moto della particella, verso il blu l’altra, nella direzione da dove è arrivata)
Forte, abbiamo trovato il candidato ideale.
Ci sono però dei ‘ma’ grandi quanto una casa.
Per prima cosa, anche se non sono espressamente vietate da nessuna legge fisica, non è detto che esistano: anche la presenza di un Tyrannosaurus Rex in Central Park non è proibito da nessuna legge fisica, ma non mi sembra che il Central park ne pulluli.
Secondo, e cosa più importante, come utilizzarle -SE- esistessero davvero?
Non certo con dei motori a Tachioni: quelli (i tachioni) partirebbero e noi rimarremmo fermi al palo.
E non potremmo neppure convertire noi stessi in Tachioni: anche se fosse possibile, come potremmo ripristinare le condizioni originali, visto che saremmo delle semplici particelle, che tra l’altro obbedirebbero a regole assolutamente diverse da quelle che noi conosciamo?
Se prendete un topo e lo trasformate in particelle da lanciare in un sincrotrone, la vedo dura ripristinare in seguito il topo, anche usando tutte le tecnologie che mi possono venire in mente, e stiamo parlando di particelle -tradizionali- (vedi paragrafo sul teletrasporto). E non consideriamo il fatto che a fare tutta l’operazione dovrebbero essere le particelle del topo stesso, non qualcuno all’esterno (un’astronave trasformata in tachioni dovrebbe lei stessa ritrasformarsi nella versione originale).
Curvatura dello spazio
Uh, che bello, Buchi neri & c.
Ecco, qui entriamo in un mondo interessante, per quanto prettamente utopistico.
Nel 1994, un fisico messicano di nome Miguel Alcubierre propose un’idea con alla base un metodo per deformare il tessuto dello spazio-tempo in modo che, in teoria, ci si potesse spostare nello spazio senza tenere conto della velocità della luce.
Ma noi abbiamo appena detto che non si può, quindi?
Quindi in sostanza si tratterebbe di truccare il mazzo, evitando di pensare a come far muovere l’astronave e concentrarsi invece a come curvare lo spaziotempo per aggirare il problema.
Questo si può ottenere grazie alla metrica di Alcubierre, che definisce come creare una ‘bolla’ in cui lo spazio si contrae da una parte e si espande dalla parte opposta, lasciando al centro uno spaziotempo piatto in cui un’astronave può rimanere ferma; il risultato è che la bolla potrebbe spostarsi attraverso il tessuto dello spazio-tempo a velocità arbitrarie senza violare la Relatività, mentre l’astronave e i suoi occupanti, al centro della bolla, non sperimenterebbero alcuna accelerazione.
Bello, habemuspapam.
Abbiamo sostanzialmente due problemi:
Punto uno: per contrarre lo spazio davanti alla bolla, si può pensare di utilizzare una massa molto compatta che, dagli ultimi calcoli effettuati, risulta essere dell’ordine della massa del pianeta Giove, ovviamente contratta in uno spazio ridottissimo per poter esercitare simili titaniche forze.
E già qui la vedo duretta, poiché Giove ha una massa equivalente a oltre 300 volte la Terra, il pianeta sul quale viviamo, e il comprimere un coso del genere a densità inimmaginabili lo vedo ben oltre qualunque progresso scientifico.
Punto due: ma il problema più grosso non è questo, bensì il fatto che, oltre a comprimere lo spazio antistante, dovremmo espandere analogamente quello alle nostre spalle con qualcosa che abbia una massa analoga ma negativa!
Ora, un oggetto che abbia una massa negativa non sta né in cielo né in Terra; sì, è vero, c’è l’effetto Casimir che mette in gioco ‘energie negative’, ma in ogni caso si tratta di valori infimi, addirittura difficili da misurare se non con adeguata strumentazione, figuriamoci se è possibile ottenere una massa equivalente di quella portata.
Per poter ovviare a questo scoglio sono state tentate molte strade, ma tutte portano ad un inevitabile vicolo cieco, come ad esempio una fantomatica ‘materia esotica’ che non ubbidisce alle leggi che conosciamo. Pura fantascienza, no, mi correggo: pura fantasia.
Il Raggio della Morte Nera
Uno scienziato, David Boulderston, ha pubblicato una ricerca nella quale stima l’energia necessaria per distruggere totalmente un pianeta usando il super-laser della Morte Nera, e, usando un modello di un pianeta con massa e diametro simili a quello della Terra, ne è venuto fuori che l’energia necessaria sarebbe di circa 2 x 1036 Joule.
Un’energia immensa, pari all’energia che il Sole emette in più di 150 anni (l’energia emessa dal Sole ogni secondo è di 3,827×10²⁶ Joule).
Ma ammettiamo di aver trovato la maniera di emettere un raggio di tale potenza (siamo una società ipersuper avanzata, no?), cosa succederebbe?
Se si trattasse veramente di un raggio laser, probabilmente vaporizzerebbe solo la superficie del pianeta che colpirebbe, con il risultato che la parte superficiale della zona colpita verrebbe ablata, ma la parte sottostante, già a poca profondità, non subirebbe conseguenze.
Se al posto di un raggio laser usassimo invece un sistema capace di accelerare a velocità elevatissime del materiale, bè, lì allora qualcosa potrebbe succedere per davvero, come quando spariamo ad una mela: il proiettile non si ferma in superficie, ma continua per inerzia e fa ‘esplodere’ la mela per i vapori prodotti dall’attrito.
Ipotesi stiracchiata all’estremo, ma in fondo stiamo fantasticando su una tecnologia avanzatissima, magari lasciamo una lontanissima ma molto lontana ipotesi di fattibilità.
Conclusione
La fantascienza è bella, lo ammetto, e i voli pindarici non fanno male a nessuno.
Cerchiamo solo di non porre su tali sogni le speranze di un nostro futuro, ma usiamoli per quel che sono: fantasiose idee che ci permettono di veleggiare un po’ con i nostri pensieri, facendoci magari scordare temporaneamente la nostra grigia quotidianità.
[/swpm_protected]
L’articolo è pubblicato in COELUM 268 VERSIONE CARTACEA














