Novae rosse luminose, esplosioni di colore nello spazio
Le novae rosse luminose sono esplosioni di luce visibile rossa generate dalla fusione di sistemi binari coalescenti. Determinare la connessione fra tali fenomeni e la fase di inviluppo comune in cui si trovavano le stelle progenitrici è fondamentale per lo studio dell’evoluzione binaria, ma molto complesso in termini simulativi. Un nuovo modello idrodinamico che combina fisica della radiazione e della materia sembra però in grado di spiegare le diverse proprietà delle curve di luce delle novae luminose osservate.
Le novae rosse luminose (i.e., luminous red novae, LRNe) sono esplosioni stellari con luminosità intermedia tra le supernovae e le novae standard generate dalla fusione di sistemi binari coalescenti. Esse derivano il loro nome dal peculiare colore rosso con cui appaiono visibili in banda ottica per settimane o mesi, prima di transire in banda infrarossa. Dal punto di vista osservativo, le LRNe si distinguono per alcune specifiche caratteristiche: l’esteso plateau o il picco molto pronunciato della curva di luce e l’intensa emissione della riga spettrale dell’idrogeno Hα.
La teoria ad ora più accreditata per spiegare l’origine delle LRNe implica che i progenitori di queste siano stelle binarie che hanno attraversato la fase di inviluppo comune, in cui gli strati esterni delle componenti vengono condivisi formando un involucro contenente entrambi i nuclei. La successiva fusione in un unico oggetto, causa dell’esplosione, determinerebbe l’espulsione dell’inviluppo a grande velocità, come confermato dalla scoperta della LRN V1309 Sco. Benché la connessione tra LRNe e fase di inviluppo comune sia dunque innegabilmente importante, la complessità dei processi fisici riguardanti l’evoluzione delle stelle binarie pone un freno all’ottenimento di risultati sostanziali in tal senso. Infatti, le simulazioni 3D tipicamente usate per studiare la fase di inviluppo comune mancano di una modellistica ad hoc per la radiazione emessa durante la fusione, perché più facile da inserire in 1D. Oltre a ciò, il costo computazionale per la risoluzione delle equazioni dell’idrodinamica per la radiazione è elevato rispetto al caso delle analoghe equazioni per la materia. Ciononostante si tratta di un aspetto non trascurabile, dato che l’energia relativa alla fusione viene convertita in uno shock termico capace di accelerare il gas fino a che l’eiezione dell’inviluppo si trasforma in un vero e proprio fenomeno esplosivo. Per questo motivo è stato recentemente introdotto un nuovo modello che incorpora le equazioni dell’idrodinamica per materia e radiazione, permettendo quindi di riprodurre con maggior precisione le curve di luce che descrivono l’espansione dei resti dell’inviluppo comune espulso. Come primo passo, si è deciso di mantenere il problema in 1D con simmetria sferica al fine di comprendere appieno la microfisica dell’esplosione, prevedendo invero una sua futura rivisitazione in 2D anche in configurazione assisimmetrica. In particolare, il modello è stato testato sia mediante simulazioni semplici e basilari di LRNe fittizie, sia attraverso l’applicazione alla reale LRN AT2019zhd in quanto avente proprietà simili alla già ampiamente analizzata V1309 Sco.

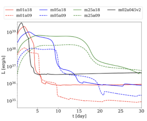
Sette le LRNe fittizie simulate, con i nomi rispettivamente di m01a18, m01a09, m05a18, m05a09, m25a18, m25a09 e m02a045v2: se le curve di luce di m01a18 e m02a045v2 presentano dei picchi molto evidenti dovuti prima all’ascesa e poi al declino esponenziali della luminosità, quelle di m25a18 e m25a09 mostrano anzi dei vasti plateau per via dell’aumentata quantità di materiale espulso, mentre tutte le altre hanno carattere intermedio. Tali differenze si spiegano considerando che più cospicui sono i resti dell’inviluppo espulso, più lenta sarà la loro espansione nel mezzo interstellare e, di conseguenza, più lungo il loro tempo di raffreddamento. Pertanto, si deduce che la formazione del picco di luminosità sia propria delle LRNe dominate dalla radiazione, laddove quella del plateau delle LRNe dominate dalla materia.
Per quanto riguarda la reale LRN AT2019zhd, invece, si è cercato di riprodurne la curva di luce attraverso due diverse applicazioni del nuovo modello, uno con e l’altro senza shock: ciò significa che la velocità di espansione dei resti dell’inviluppo sarà in un caso crescente e nell’altro decrescente nel tempo. Il risultato è una coppia di curve di luce tra loro comparabili, poiché gli shocks hanno l’effetto di prolungare il plateau della curva di luce al pari di una maggiorazione della massa del materiale eiettato nell’esplosione. Ergo, bisognerebbe disporre di un’ulteriore osservabile per discernere quale sia lo scenario corretto, come ad esempio la comparsa della riga Hα nello spettro luminoso. Ad ogni modo, però, entrambi i sotto-modelli riescono ad emulare la curva di luce di AT2019zhd, a comprova dell’accuratezza dell’approccio simulativo utilizzato.

(linea blu) del modello. La curva di luce osservata della LRN
AT2019zhd (linea grigia) è ben riprodotta dal modello (punti neri
sovrapposti alla linea grigia). Crediti: arXiv.
In conclusione, il nuovo modello idrodinamico 1D che combina fisica della radiazione e della materia per determinare la connessione tra LRNe e fase di inviluppo comune in sistemi binari compatti sembra, a valle dei test effettuati, adeguato e affidabile. Difatti, esso dà giustificazione dei vari tratti delle curve di luce delle LRNe a seconda della natura dell’esplosione e dei resti dell’inviluppo espulso, coprendo una pluralità di casistiche degne di nota. Si attende perciò il preannunciato sviluppo della versione 2D del modello affinché altri dettagli sulla complessa evoluzione delle stelle binarie vengano definitivamente svelati.
Fonte:arXiv.













