
Da anni gli scienziati cercano di conciliare la relatività generale di Einstein e la meccanica quantistica in una teoria unificata, la gravità quantistica, nella speranza di individuare un unico formalismo matematico capace di spiegare i fenomeni fisici sia su larga che su piccola scala. L’insuccesso degli innumerevoli tentativi finora effettuati ha indotto il fisico inglese Jonathan Oppenheim a domandarsi se quantizzare la gravità sia realmente la mossa giusta: perché, al contrario, non concentrarsi soltanto sulla gravità, modificando la relatività generale? Da qui la proposta di una nuova teoria post-quantistica della gravità, che sembra escludere l’esistenza della materia oscura.
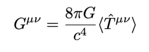
Le due teorie pilastro della fisica moderna sono la relatività generale di Einstein, che delinea la geometria dello spazio-tempo impressa dalla gravità, e la meccanica quantistica, che invece si occupa della fenomenologia relativa alla materia e alla radiazione a scale atomiche e subatomiche. Poiché le equazioni di Einstein mettono in relazione lo spazio-tempo dominato dalla gravità con la materia, presente sotto forma di masse che ne deformano la struttura, notevole sforzo è stato messo nel cercare di combinare questi due aspetti in un’unica trattazione matematica: nasce così l’ipotesi della gravità quantistica.

In un recente studio su tale tematica il ricercatore inglese Jonathan Oppenheim si è chiesto se sia però davvero indispensabile quantizzare la gravità per ottenere un quadro fisico unitario. A tal proposito, nella sua teoria post-quantistica della gravità Oppenheim sembra propendere per una risposta negativa. Egli sostiene infatti che lo spazio-tempo possa essere inteso come un fluido continuo dal punto di vista non solo macroscopico, ma anche microscopico: esso dovrebbe dunque essere modellizzato interamente nel modo classico, ovvero come prescritto dalla relatività generale, mentre il formalismo quantistico verrebbe riservato esclusivamente alla materia. Tuttavia, eliminare la discretizzazione (i.e., quantizzazione) dello spazio-tempo alle piccole dimensioni implica ammettere che esso, al pari della metrica che lo descrive, sia soggetto a fluttuazioni stocastiche (i.e., casuali), che lo renderebbero “traballante” anziché liscio. Ma, soprattutto, questo comportamento stocastico sarebbe responsabile di una modifica della stessa relatività generale a bassi valori di accelerazione gravitazionale, ossia nel cosiddetto “regime diffusivo”, perché qui le fluttuazioni stocastiche risulterebbero non trascurabili. Invero, esse avrebbero l’effetto di una forza entropica: stimolando il moto browniano (i.e., il moto casuale delle particelle del fluido cosmico), esse fornirebbero cioè alle stelle con minore velocità una quantità di energia aggiuntiva, accelerandole. Dal momento che tali stelle sono situate nelle zone più esterne delle galassie, dove appunto vale il regime diffusivo per via della più bassa gravità, esse andrebbero a giustificare il tratto piatto delle curve di rotazione, che ci aspetterebbe fosse anzi kepleriano (i.e., declinante) proprio per il rallentamento del moto stellare a grandi raggi. Ergo, le fluttuazioni stocastiche sostituirebbero l’attrazione gravitazionale esercitata dagli aloni di materia oscura che circondano le galassie sulle stelle ai loro margini: in altre parole, in questo scenario l’esistenza della materia oscura non sarebbe più necessaria.

D’altronde, nota Oppenheim, la sua non è la prima teoria alternativa della gravità a giungere a tale conclusione: per esempio, già nel 1983 la teoria della gravità modificata di Milgrom (i.e., MOND, Modified Newtonian Dynamics), era riuscita a spiegare l’appiattimento delle curve di rotazione delle galassie attraverso una revisione del valore della gravità alle basse accelerazioni, senza pertanto chiamare in causa la materia oscura. Il rinnovato interesse nei confronti della MOND a seguito dei risultati emersi nelle ultime simulazioni dinamiche di ammassi di galassie e supportati da evidenze osservative costituisce un punto di forza del ragionamento di Oppenheim. Ciononostante, la neonata teoria gravitazionale post-quantistica dello scienziato è ancora giudicata piuttosto controversa a causa dell’attuale mancanza di test: la formulazione matematica, per quanto rigorosa e dettagliata, certo non basta a dissolvere lo scetticismo del mondo astrofisico. Ciò è tanto più vero se si considera che numerose e svariate sono ad oggi le prove a favore della materia oscura, prima fra tutte la formazione delle strutture nell’Universo primordiale. Ma, come scrive Oppenheim, “la gravità è famosa per essere truffatrice”: meglio insomma non lasciarsi ingannare, scartando a priori delle congetture che potrebbero infine non rivelarsi poi così improbabili. Ad ogni modo, il fisico inglese assicura che, prima di compiere affermazioni azzardate, saranno realizzate simulazioni numeriche e posti vincoli basati sui dati osservativi. Tutto fa quindi pensare che ne sapremo presto di più.
Fonte: arXiv.














Interessante, anche se questo crea a mio avviso qualche intoppo con la conservazione dell’energia.