Fra gli oggetti binari più diffusi a contatto con il Sistema Solare ci sono gli asteroidi
In astrofisica la binarietà è tipicamente associata alle stelle… ma in realtà non è così! Oggetti di natura binaria esistono invero anche all’interno del Sistema Solare: si tratta dei cosiddetti oggetti binari a contatto. Essi sono asteroidi, comete e corpi appartenenti alla fascia di Kuiper formati da due agglomerati di detriti distinti che finiscono per fondersi a causa della reciproca attrazione gravitazionale, senza però perdere la loro forma caratteristica. Uno studio teorico prova dunque a fare chiarezza sulle proprietà fisiche che tali oggetti devono avere per sopravvivere al processo di fusione in forma binaria.
Gli oggetti peragèi (i.e., Near-Earth Objects, NEOs) sono corpi minori del Sistema Solare la cui orbita interseca quella della Terra e degli altri pianeti a distanza molto ravvicinata. Essi subiscono quindi l’azione delle forze mareali planetarie, che ne provocano la deformazione o la disgregazione in base alle caratteristiche della struttura interna. Infatti, i NEOs sarebbero non monoliti (i.e., composti da un unico blocco massiccio di roccia o roccia mista a ghiaccio), bensì agglomerati di detriti rocciosi tenuti insieme dalla forza di gravità. Anche le forze di coesione, tuttavia, giocano un ruolo fondamentale nell’incremento del carico di rottura, ovvero il limite di resistenza meccanica che un corpo può raggiungere, per prevenirne la distruzione ad opera della forze centrifughe e del momento torcente esercitato dalla radiazione solare (i.e., effetto YORP). In altri termini, la coesione si manifesta nei solidi come la proprietà di compattezza, che si oppone agli stress esterni che tentano di separare le molecole stesse. Tra i NEOs, quelli binari a contatto sono piuttosto comuni nel Sistema Solare: si tratta di asteroidi, comete e corpi appartenenti alla fascia di Kuiper (i.e., Kuiper-Belt objects, KBOs) formati da due lobi distinti, resti di agglomerati di detriti più piccoli ma della medesima natura, venuti a contatto e poi fusisi a causa del decadimento dell’orbita comune per attrazione gravitazionale reciproca. Sebbene il preciso meccanismo di formazione rimanga ancora oscuro, tale fenomeno sembra essere favorito dalla bassa coesione del materiale e da un ampio angolo di attrito interno, con i quali si misurano, rispettivamente, la resistenza allo sforzo di compressione e di taglio. Per comprendere cosa si intende per angolo di attrito interno, si consideri la seguente situazione. Un corpo appoggiato su un piano inclinato di un certo angolo rispetto all’orizzontale contrasta il movimento indotto da una spinta parallela al piano con una forza che ne ostacola lo slittamento, l’attrito: l’angolo d’inclinazione del piano per cui l’attrito mantiene la condizione di equilibrio del corpo contro la forza motrice è pertanto chiamato angolo di attrito. Se, anziché su un piano, si immagina che un corpo scorra su un altro corpo, come nel caso delle molecole dei solidi, si parla di attrito interno e di angolo di attrito interno.
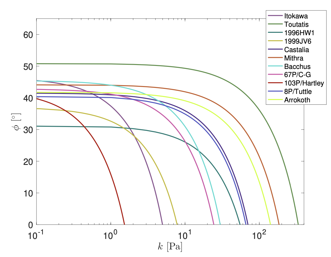
Gli oggetti binari a contatto del Sistema Solare per cui esistono attualmente sia dati osservativi sia studi teorici sono però soltanto 11: 7 asteroidi ((25143) Itokawa, (4179) Toutatis, (8567) 1996HW1, (85990) 1999JV6, (4769) Castalia, (4486) Mithra e (2063) Bacchus), 3 comete (67P/Churyumov-Gerasimenko, 103P/Hartley e 8P/Tuttle) e 1 KBO ((486958) Arrokoth). Sfruttando le informazioni tabulate su questi, due ricercatori dello Smead Department of Aerospace Engineering Sciences in Colorado hanno determinato le proprietà fisiche necessarie al lobo secondario (i.e., più piccolo) per sopravvivere alla forza gravitazionale di quello primario (i.e., più grande) senza perdere la sua forma originaria durante la fusione.
In particolare, costoro hanno adottato il criterio di Drucker-Prager, altrimenti detto modello DP, per definire il limite oltre il quale un materiale si deforma o cede, spezzandosi, se sottoposto ad una sollecitazione esterna. In particolare, esso dipende da due parametri, la coesione ke l’angolo di attrito interno φ, secondo l’analisi del campione legati da proporzionalità inversa: kaumentaal diminuire di φ, ossia per valori abbastanza elevati di coesione non è richiesto attrito interno, e viceversa. Ciò significa che, se le molecole di un corpo sono fortemente legate tra loro, viene inibito lo sviluppo di un importante attrito interno che impedisca a queste di slittare le une sulle altre per resistere al moto di allontanamento relativo. Si ottiene così una stima della forza dei lobi secondari contro la tendenza a disgregarsi esercitata dalle influenze mareali gravitazionali dei lobi primari; specificamente, un valore di coesione pari a 1-100 Pa (Pa = pascal) pare sia mediamente sufficiente a formare un oggetto binario a contatto.

la coesione k misurata in Pa (in ascissa) e l’angolo di attrito
interno φ misurato in gradi (in ordinata) per gli 11 oggetti
binari a contatto del campione. Crediti: arXiv.
D’altro canto, tale valore dipende anche dalla forma e dalla grandezza del lobo secondario. Assumendo una forma sferica per il lobo primario, i ricercatori hanno perciò modellizzato quello secondario mediante due tipi di ellissoide, quello oblato (i.e., derivato dalla rotazione di un ellisse attorno all’asse maggiore) e quello prolato (i.e., derivato dalla rotazione di un ellisse attorno all’asse minore), trovando che la coesione cresce a mano a mano che ci si avvicina alla condizione di sfericità dell’ellissoide (i.e., di rapporto degli assi uguale a 1). Questo trend risulta più marcato nel caso di ellissoide prolato, piuttosto che oblato, a dimostrazione che i lobi secondari aventi forma più allungata lungo l’asse minore debbano essere maggiormente coesi per far fronte al processo di fusione.

Matteo Tordi
L’ipotesi di sfericità del lobo primario costituisce un pesante vincolo per il calcolo del range di coesione e di angolo di attrito interno utili alla formazione di oggetti binari a contatto, ma, volendo questo studio fornire semplicemente un ordine di grandezza di siffatti parametri, si può ritenere che esso sia veritiero entro la barra d’errore. Invero, il modello realizzato ha permesso di individuare non solo gli strumenti adatti ad una futura e più accurata analisi del complesso meccanismo di fusione degli agglomerati di detriti, ma anche le relazioni tra i parametri che entrano in scena nell’intero processo.

oblata (grafico di destra). In entrambi i grafici le linee colorate rappresentano i vari gradi di deformazione
prolata e oblata, mentre i simboli neri gli 11 oggetti binari a contatto del campione. Si nota come sia
necessaria una coesione maggiore nel caso prolato rispetto a quello oblato. Crediti: arXiv.
Fonte:arXiv
Vuoi essere sempre aggiornato sul Cielo del Mese?














