A cura della rete CARMELo
(Cheap Amatorial Radio Meteor Echoes Logger)
Mariasole Maglione (Rete CARMELo e GAV, Gruppo Astrofili Vicentini)
Lorenzo Barbieri (Rete CARMELo e AAB, Associazione Astrofili Bolognesi)
Gaetano Brando (Rete CARMELo e AAB, Associazione Astrofili Bolognesi)
Silvana Sarto (Rete CARMELo e AAB, Associazione Astrofili Bolognesi)
Giovanni Furlato (Rete CARMELo e MarSEC)
William Rivato (Rete CARMELo e MarSEC)
Indice dei contenuti
Bollettino di Marzo
Introduzione
Anche marzo, come febbraio, è un mese poco attivo per quanto riguarda gli sciami meteorici, e non ha presentato, come da aspettative, sciami di particolare rilievo. Per questo ne abbiamo approfittato per approfondire ulteriormente il tema delle velocità delle meteore in relazione alla posizione della Terra nel corso del suo moto di rotazione.
I dati del mese di marzo
I grafici che seguono sono tratti da questa pagina: nelle ascisse è rappresentato il tempo, che è espresso in UT (Universal Time, Tempo Universale) oppure in longitudine solare (Solar Longitude) e le ordinate rappresentano il tasso orario (hourly rate), calcolato come il numero totale di eventi registrati dalla rete nell’ora diviso per il numero di ricevitori in funzione. La risoluzione temporale è di 15 minuti.

Analisi dei profili degli echi radio e velocità delle meteore
Nel precedente bollettino (2) abbiamo analizzato la variazione della velocità media delle meteore nell’arco della giornata utilizzando la statistica delle potenze radioelettriche registrate dalla rete CARMELo. In quell’analisi abbiamo visto come il grafico della potenza media degli echi, in parte determinata dall’energia cinetica dei meteoroidi, mostri un andamento opposto (controfase) rispetto al grafico del numero di eventi, fornendo una indicazione della variazione delle velocità in funzione dell’ora locale.
Questo mese affrontiamo lo stesso tema da un punto di vista diverso, utilizzando non più un dato di misura come la potenza, ma analizzando il profilo degli echi radio, il tempo di salita del segnale o time rise.
Come noto, l’eco radar di una meteora è prodotto dalla ionizzazione dell’atmosfera lungo la traiettoria del meteoroide. Il passaggio della particella genera infatti un cilindro di plasma costituito da coppie ione-elettrone libere. La riflessione del segnale radio su questo cilindro ionizzato avviene secondo le leggi della riflessione speculare delle onde elettromagnetiche: l’angolo di incidenza è uguale all’angolo di riflessione.
Una conseguenza fondamentale di questa geometria è che l’eco osservato proviene essenzialmente da un solo punto della traiettoria percorsa dal meteoroide, detto “punto di riflessione speculare” o “punto di massima vicinanza” P. Questo è il punto per cui il percorso complessivo del segnale (dal trasmettitore al cilindro ionizzato e da questo al ricevitore) è il minimo possibile.
In prima approssimazione, quindi, l’intero fenomeno osservativo può essere descritto considerando esclusivamente una regione attorno a questo punto.
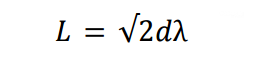
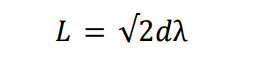
Consideriamo ora un tratto della traiettoria meteorica centrato nel punto P (vedi fig.2). Allontanandosi da P, il cammino ottico del segnale aumenta progressivamente aumentando il ritardo del segnale e ciò cambia la fase dell’onda ricevuta. I punti per cui questo ritardo di fase raggiunge λ/4 delimitano la cosiddetta “prima zona di Fresnel”, che rappresenta la regione efficace di interferenza costruttiva del segnale riflesso.
La lunghezza caratteristica di questa regione, nel caso di osservazioni in backscatter, è data da (1):

dove:
- d è la distanza tra trasmettitore e meteora;
- λ è la lunghezza d’onda del segnale radio trasmesso e riflesso.

Durante l’attraversamento della prima zona di Fresnel, il meteoroide produce progressivamente ionizzazione, portando il segnale da un livello nullo fino al massimo dell’eco osservato. Il tempo impiegato in questo attraversamento viene definito time rise (tempo di salita del segnale)

Assumendo, in prima approssimazione, un moto rettilineo uniforme del meteoroide, questo tempo è legato alla lunghezza L e alla velocità v da una relazione del tipo (2):

Ne consegue che:
- Meteore più veloci presentano un time rise più breve;
- Meteore più lente presentano un time rise più lungo.
Nel precedente bollettino (2) abbiamo illustrato come la velocità con cui le meteore entrano nell’atmosfera terrestre dipende dalla combinazione tra la loro velocità nello spazio interplanetario e la velocità orbitale della Terra. In particolare, le meteore osservate intorno alle 6 (ora locale) presentano velocità risultanti dalla somma tra la loro velocità nello spazio (nel sistema di riferimento del Sistema Solare) e quella della Terra, poiché l’osservatore è rivolto nella direzione del moto orbitale terrestre. Al contrario, intorno alle 18 (ora locale), le meteore presentano velocità risultanti dalla differenza tra la loro velocità e quella della Terra, in quanto l’osservatore guarda nella direzione opposta al moto orbitale.
Da quanto appena discusso, ci aspettiamo quindi che:
- Al mattino il time rise sia mediamente più breve;
- Alla sera il time rise mediamente più lungo.
Naturalmente, le meteore sporadiche arrivano da direzioni casuali e con velocità intrinseche diverse. Tuttavia, su un campione sufficientemente ampio, gli effetti statistici legati alla geometria del moto terrestre dovrebbero emergere.
Per verificare questa previsione abbiamo analizzato un database di eventi registrati dalla rete CARMELo in un intervallo di oltre un mese, tra gennaio e febbraio 2026.
Per ridurre il contributo degli sciami meteorici e concentrarci sulle meteore sporadiche:
- Sono stati esclusi i primi giorni di gennaio, dominati dalle Quadrantidi;
- Sono stati selezionati solo eventi con rapporto segnale/rumore maggiore di 20 dB, al fine di determinare con maggiore precisione il profilo temporale dell’eco;
- determinare con maggiore precisione il profilo temporale dell’eco;
- I dati sono stati suddivisi in due gruppi:
- Eventi registrati nelle due ore attorno alle 6 locali.
- Eventi registrati nelle due ore attorno alle 18 locali.


Dall’analisi emerge chiaramente che:
- La distribuzione mattutina è spostata verso tempi di salita più brevi;
- La distribuzione serale mostra una maggiore presenza di tempi di salita più lunghi.
Questa analisi conferma, con un approccio completamente indipendente, i risultati ottenuti nel precedente bollettino:
- La velocità media delle meteore osservate varia nel corso della giornata;
- Tale variazione è una diretta conseguenza della geometria del moto terrestre.
Si può inoltre tentare di verificare se l’ordine di grandezza della misura del time rise misurato da CARMELo sia compatibile con le velocità delle meteore. A tal fine utilizziamo la (1) per stimare le dimensioni della prima zona di Fresnel. Consideriamo l’equazione valida anche per un sistema di forward scatter e la applichiamo alla geometria Graves – Italia, considerando la frequenza del trasmettitore di Graves.
Assumiamo quindi che d = 600000 e λ = 2 (metri): dalla (1) ricaviamo una lunghezza della zona di Fresnel di circa 1500 metri.
Applicando la (2) per un time raise di 30 ms come quello predominante al mattino troviamo un valore di poco superiore ai 50000 m/s, valore che va quasi a dimezzarsi per time rise di 50 ms come quelli predominanti la sera. Questi valori sono perfettamente compatibili con l’ordine di grandezza delle velocità delle meteore in riferimento alla Terra, che come sappiamo vanno da 16 a 72 Km/s.
Da tutto ciò si evidenzia che la rete CARMELo non si limita a contare eventi, ma è in grado di ricavare informazioni fisiche sulle meteore, analizzando in dettaglio la forma degli echi radio. Il fatto che una grandezza temporale come il time rise, legata direttamente alla velocità del meteoroide, mostri l’andamento previsto teoricamente rappresenta un’ulteriore verifica osservativa della dinamica degli impatti meteorici.
Bibliografia:
- Oleg I. Belkovich e Jean-Marc Wislez (2006): “The physics of backscattering of radio waves from ionized meteor trails”. Proceedings of radio meteor school 2005, p. 27-33
- M. Maglione, L. Barbieri (2026): “Bollettino delle radiometeore di febbraio 2026”
La strumentazione
La rete CARMELo è costituita da ricevitori radio SDR. In essi un microprocessore (Raspberry) svolge simultaneamente tre funzioni:
1) Pilotando un dongle, sintonizza la frequenza su cui trasmette il trasmettitore e si sintonizza come una radio, campiona il segnale radioelettrico e tramite la FFT (Fast Fourier Transform) misura frequenza e potenza ricevuta.
2) Analizzando il dato ricevuto per ogni pacchetto, individua gli echi meteorici e scarta falsi positivi e interferenze.
3) Compila un file contenente il log dell’evento e lo spedisce ad un server.
I dati sono tutti generati da un medesimo standard, e sono pertanto omogenei e confrontabili. Un singolo ricevitore può essere assemblato con pochi dispositivi il cui costo attuale complessivo è di circa 210 euro.
Per partecipare alla rete leggi le istruzioni a questa pagina.
La rete CARMELo
La rete è attualmente composta da 16 ricevitori dislocati in Italia, Regno Unito, Svizzera e USA. I ricevitori europei sono sintonizzati sulla frequenza della stazione radar Graves in Francia, pari a 143.050 MHz. Partecipano alla rete:
- Lorenzo Barbieri, Budrio (BO) ITA
- Associazione Astrofili Bolognesi, Bologna ITA
- Associazione Astrofili Bolognesi, Medelana (BO) ITA
- Paolo Fontana, Castenaso (BO) ITA
- Associazione Astrofili Pisani, Orciatico (PI) ITA
- Gruppo Astrofili Persicetani, San Giovanni in Persiceto (BO) ITA
- Roberto Nesci, Foligno (PG) ITA
- MarSEC, Marana di Crespadoro (VI) ITA
- Gruppo Astrofili Vicentini, Arcugnano (VI) ITA
- Associazione Ravennate Astrofili Rheyta, Ravenna (RA) ITA
- Mike German, Hayfield, Derbyshire UK
- Mike Otte, Pearl City, Illinois USA
- Yuri Malagutti, Comano (TI) CH
- Leslie Fry, Trawscoed Ceredigion, Wales UK
- Brian Coleman, Redenham Observatory, Andover, England UK
L’auspicio degli autori è che la rete possa espandersi sia quantitativamente che geograficamente, permettendo così la produzione di dati di miglior qualità.













