L’espansione accelerata dell’universo, scoperta alla fine degli anni ’90 (Riess et al., 1998; Perlmutter et al., 1999), continua a rappresentare uno dei più grandi enigmi della cosmologia moderna. Per affrontare questo mistero, un consorzio internazionale di ricercatori ha recentemente presentato le Discovery Simulations, una nuova coppia di simulazioni cosmologiche ad alta risoluzione sviluppate per approfondire la natura dell’energia oscura.
Il lavoro, guidato da ricercatori del Argonne National Laboratory (anl.gov) e del Dark Energy Spectroscopic Instrument (desi.lbl.gov), offre un banco di prova senza precedenti per testare modelli cosmologici alternativi. Le simulazioni sono state realizzate utilizzando il codice HACC (Hardware/Hybrid Accelerated Cosmology Code), ottimizzato per i supercomputer più potenti attualmente disponibili.
Due universi a confronto
Le Discovery Simulations consistono in due modelli evolutivi dell’universo, costruiti con condizioni iniziali identiche ma con parametri cosmologici differenti. Una simulazione segue il classico modello ΛCDM, in cui l’energia oscura è rappresentata da una costante cosmologica. L’altra esplora un modello più dinamico, w₀wₐCDM, dove l’energia oscura evolve nel tempo secondo una precisa equazione di stato, come suggerito dai recenti risultati del primo anno di osservazioni del DESI (DESI Collaboration et al., 2024).
Ogni simulazione ha elaborato 6720³ particelle in un volume cubico di 1,5 gigaparsec (circa 4,9 miliardi di anni luce per lato), con una risoluzione in massa di circa 4×10⁸ masse solari. L’operazione si è svolta su Aurora, il supercomputer exascale basato su GPU dell’Argonne Leadership Computing Facility, impiegando 960 nodi e oltre 5700 GPU in un tempo straordinariamente breve: circa due giorni per simulazione.

A sinistra: modello ΛCDM; a destra: modello w₀wₐCDM.
Le differenze tra i due scenari cosmologici sono sottili, ma comunque visibili quando si osservano i dettagli più fini della struttura. Questo confronto evidenzia quanto sia difficile, nella cosiddetta “cosmologia di precisione”, ottenere misure cosmologiche in grado di rilevare anche i più piccoli cambiamenti nella formazione delle strutture dell’universo.
È disponibile anche un breve video che mostra l’evoluzione temporale di una piccola porzione dello spazio simulato.
Una mappa dettagliata dell’evoluzione cosmica
Grazie a queste simulazioni, i ricercatori hanno potuto analizzare con precisione le differenze tra i due modelli cosmologici in vari aspetti fondamentali: lo spettro di potenza della materia, la funzione di massa degli aloni di materia oscura e i tassi di accrescimento di massa degli stessi.
I risultati mostrano che il modello w₀wₐCDM genera differenze quantificabili rispetto a ΛCDM, con variazioni fino al 5–10% nella distribuzione della materia su larga scala, e fino al 20% nella frequenza di aloni massicci a determinate epoche cosmiche. Sebbene queste discrepanze possano sembrare contenute, esse offrono importanti spunti per migliorare la precisione degli strumenti di analisi cosmologica.

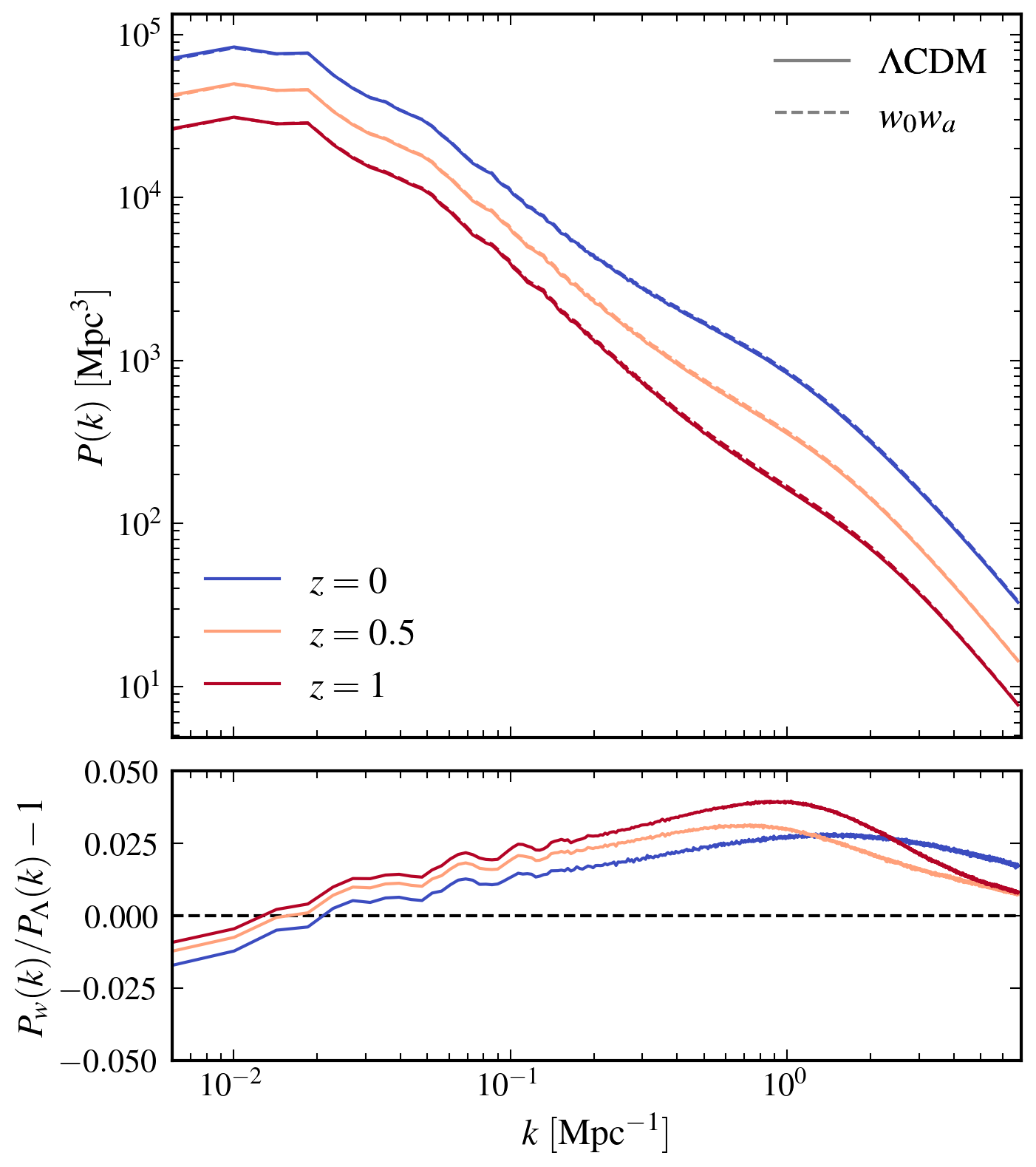
In alto: confronto degli spettri di potenza della materia ottenuti nelle due simulazioni: linea continua per il modello ΛCDM, linea tratteggiata per il modello w₀wₐCDM, mostrati a tre diverse epoche cosmiche: z = 0 (colore blu), z = 0.5 (rosa) e z = 1 (rosso).
In basso: differenza percentuale tra gli spettri di potenza delle due simulazioni a ciascun redshift, cioè quanto i due modelli divergono nella distribuzione della materia su varie scale spaziali.
Galassie simulate e formazione stellare
Un altro punto di forza delle Discovery Simulations è la possibilità di associare alle strutture simulate delle popolazioni galattiche plausibili. Utilizzando modelli innovativi come Diffstarpop (GitHub link), i ricercatori hanno generato galassie sintetiche basate sull’accrescimento di massa degli aloni, esplorando così come la cosmologia influenza la storia della formazione stellare.
I dati indicano che, nei modelli con energia oscura variabile, le galassie formano stelle con una leggera riduzione del tasso di formazione, specialmente agli alti redshift (z > 1). Questo effetto, sebbene modesto (∼2–4%), potrebbe diventare rilevante in studi statistici su larga scala, come quelli previsti da future survey del cielo.
Un patrimonio pubblico per la comunità scientifica
Le simulazioni non sono solo uno strumento teorico, ma un patrimonio messo a disposizione della comunità: i cataloghi degli aloni di materia oscura a tre epoche cosmiche (z = 1.0, 0.5, 0) sono pubblicamente accessibili attraverso l’HACC Simulation Data Portal, utilizzando un account Globus. L’importanza di queste simulazioni risiede nella loro capacità di accompagnare i dati osservativi con un supporto teorico all’avanguardia. Con missioni come Euclid, LSST e il Nancy Grace Roman Space Telescope pronte a esplorare l’universo con una precisione senza precedenti, strumenti come le Discovery Simulations saranno essenziali per interpretare i segnali cosmologici più sottili.
Gli autori, tra cui N. Padmanabhan, M. White, K. Heitmann e J. Alarcón, concludono auspicando che queste simulazioni rappresentino la base per futuri cataloghi galattici sintetici e per l’analisi di statistiche cosmologiche di ordine superiore, in grado di distinguere tra modelli di energia oscura oggi ancora in competizione.
Fonte: ArXiv















